Skip navigation

Pardee Logo International Futures at the Pardee Center

International Futures Help System

Stocks

Due to a lack of good historical data, in the first year, stocks for all three agricultural commodities are assumed to equal desired stocks. These are set to a fraction (agdstl) of total production (AGP) and demand (AGDEM) for each commodity.

ag equation 69

where

agdstl is a parameter used to set desired stock levels for agricultural commodities.  It is set to be 1.5 times dstl , which is a global parameter that can be adjusted by the user

In future years, basic stock levels (cumstk) increase with production (AGP) as adjusted for loss before reaching market (LOSS), decrease with demand or consumption (AGDEM), and adjust for net imports (AGM-AGX).

ag equation 70

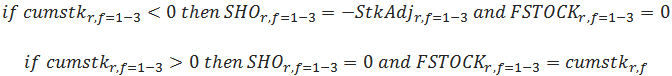
Of course, the actual stock values (FSTOCK) are not allowed to go negative. If the basic stock level is negative, stocks are set at zero and a shortage (SHO) exists, which affects calorie availability. If the basic stock level is positive there is no shortage and stocks equal the basic level.

ag equation 71