Skip navigation

Pardee Logo International Futures at the Pardee Center

International Futures Help System

Capital Dynamics

The economic model of IFs returns a (potentially) modified value of IDS, category 1, reflecting the total amount of capital available for agriculture. This value is assigned to the variable iaval, which overrides the value of INAG calculated earlier (earlier it was basically investment demand; after return from the economic model it becomes investment supply). [1] The agriculture model divides the investment available for agriculture (iaval) into investment for cropland development and investment for other agriculture capital. The coefficient IALK indicates the portion going to cropland development.

IALK is set to a default value of 0.25 for all countries in the pre-processor. In forecast years, IALK changes from this initial value depending on change in the ratio of return on land (RETR) to return on capital (RETK).

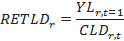
IFs calculates the return rate on land as the crop yield (YL) in the first year divided by the current cost of developing a unit of cropland (CLD).

ag equation 97

The return on capital depends on the difference between the hypothetical level of crop yield (HYL) that could be obtained from an additional unit investment in agricultural capital and the current crop yield. Recalling how crop yield is estimated, the hypothetical crop yield is given as

ag equation 98

and the return on capital is given as

ag equation 99

The ratio of the return to land to the return to capital (RETRAT) is given as

ag equation 100

The adjustment of IALK uses the same first and second order adjustment mechanism that we have seen before with the ADJSTR function. Here the ‘target’ level is the ratio of the return to land to the return to capital in the first year.

ag equation 101

where

eliasp1 and eliasp2 are global parameters

Two final checks are made on the value of IALK. First, it is not allowed to exceed a value related to the cost of replacing depreciated investment in land

ag equation 102

Second, IALK is bound between 0.1 and 0.8.

Finally the model updates agricultural capital (KAG) for the next year by subtracting depreciation as represented by agricultural capital lifetime ( lks ), adding the residual (non-land) investment, and adjusting for any civilian damage from warfare (CIVDM – see international politics model documentation).

ag equation 103

 



[1]IFs does have a global parameter agon that can be used to break the link between the agriculture and economic model, in which case INAG is not overwritten. This is done by setting agon to a value less than 0.5. Doing so treats the agriculture model as a partial equilibrium model rather than a general equilibrium model.